沉字五行属什么,沉字的含义是什么,沉字取名的寓意(男孩,女孩)
沉字五行属什么:属水
沉字取名的寓意:沉字取名的寓意是指稳重、冷静、女子美丽之义,寓意吉祥又有内涵。
沉字起名忌讳:
1、沉字五行属性为水,根据五行水克火的原理,沉字取名忌讳用五行属火的字取名;
2、沉字取名忌讳与同韵母én或同声调阳平的字起名,不然读起来你会发现很不流畅,读起来也拗口;
3、沉字取名还有一个忌讳就是如果你家的长辈中已经有人带有沉字,你就不要用沉这个字,这也是最常见的一个起名常识。
沉字的含义是什么:意指沉着,沉稳、不慌张等。比如镇定自若。沉也亦指女子漂亮,比如沉鱼落雁。沉字取名怎么样呢,好不好,有什么寓意呢。沉字为取名常用字,寓意好。沉这个字起名,有哪些是第一个字就用这个字,哪些是第二个字用这个字呢。我们统计的含这个字的名字比例是76%的人第一个字用的是这个字,男女比例为53:47。
沉字起名人数:大数据分析每一千万人中大约有2320人的名字含这个字。
以上是从这个字的寓意,男孩,女孩用这个字取名的比例,以及从大数据分析这个字大概的使用人数分析,对于男孩,女孩起名有很好的参考意义。
沉字读音:chén
沉字结构:左右结构
沉字笔画:7
沉字起名举例:
与沉字同五行的字举例:平、云、红、鹏、福、洋、学、泽、雨、豪、希、航、润、淇、飞、江、方、平、华、文、海、涛、博、武、香、汉、渝、溪、沁、潮、怀、鸿、发
与沉字同音的字举例:晨,臣,辰,琛,陈,宸,忱,尘,沉,趁,郴,衬,谌,棽,榇,瞋,碜,抻,疢,谶,龀,煁
与沉字同部首的字举例:海,波,涛,清,洪,洁,江,淑,浩,洋,泽,源,汉,治,润,洲,湘,滨,涵,潇,法,满,汝,沛,河,渊,津,添,泳,沙
沉字解释和一些常见的组词:沉chén没(m?)入水中,与“浮”相对:沉没。
沉渣。
沉浮(喻盛衰消长)。
石沉大海。
沉鱼落雁。
静影沉璧。
落下,陷入:沉陷。
重量大:沉重。
慎重,不轻浮:沉着(zhu?)。
沉毅。
深切长久,程度深:沉思。
沉滞。
沉吟。
沉默。
重浮轻
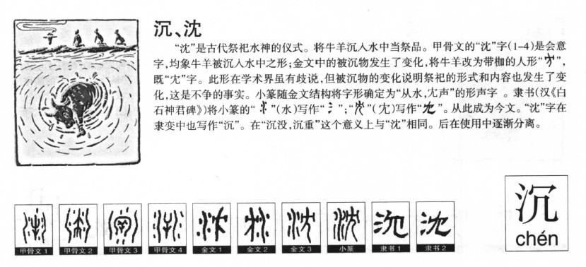
沉字的源字形:
相关阅读
推荐阅读
- 粪字五行属什么,粪字的含义是什么,粪字取名的寓意(男孩,女孩)
- 棼字五行属什么,棼字的含义是什么,棼字取名的寓意(男孩,女孩)
- 粉字五行属什么,粉字的含义是什么,粉字取名的寓意(男孩,女孩)
- 浬字五行属什么,浬字的含义是什么,浬字取名的寓意(男孩,女孩)
- 芬字五行属什么,芬字的含义是什么,芬字取名的寓意(男孩,女孩)
- 旭字五行属什么,旭字的含义是什么,旭字取名的寓意(男孩,女孩)
- 瀵字五行属什么,瀵字的含义是什么,瀵字取名的寓意(男孩,女孩)
- 袭字五行属什么,袭字的含义是什么,袭字取名的寓意(男孩,女孩)
- 衣字五行属什么,衣字的含义是什么,衣字取名的寓意(男孩,女孩)
- 丹字五行属什么,丹字的含义是什么,丹字取名的寓意(男孩,女孩)